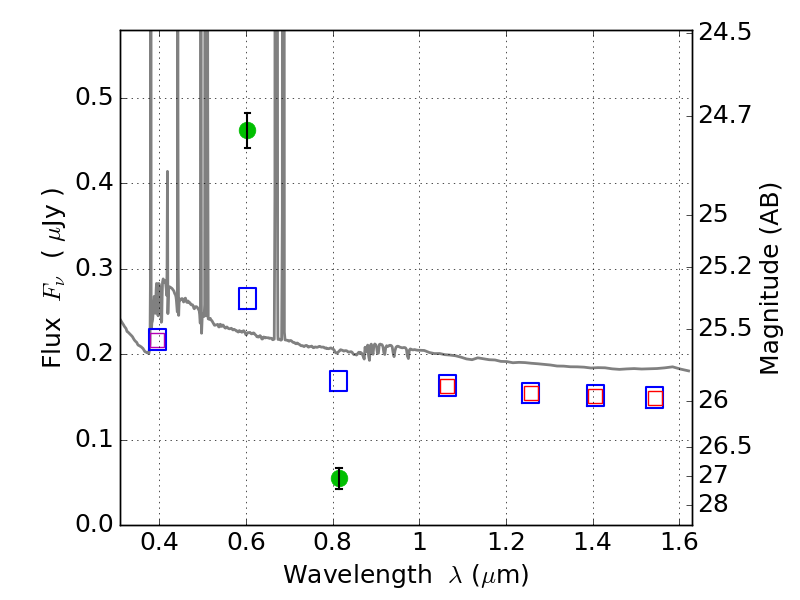
RXS0603+42-S IR detection object #239

Color images and BPZ results
Catalog: 239.cat
Black segments are analyzed here.   Roll mouse over color images to view segments.
Best viewed in a wide browser window (1200 pixels or more).   Download SED & P(z) plots to view larger versions.
In P(z) plots: Yellow lines mark the cluster redshift z = 0.228,  

Object #239   x,y = (2460, 4241)   RA, Dec = (06:03:26.640, 42:11:40.92) = (90.86100, 42.19470)   BPZ = 0.017 [0.010--0.035]   type = 11.00 (SB11_A_0_l)   stellarity = 0.74   chisq2 = 81.45   ODDS = 1.00   z_cluster = 0.228