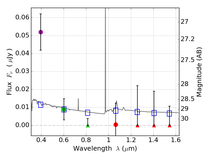
RXS0603+42-S IR detection object #2356

Color images and BPZ results
Catalog: 2356.cat
Black segments are analyzed here.   Roll mouse over color images to view segments.
Best viewed in a wide browser window (1200 pixels or more).   Download SED & P(z) plots to view larger versions.
In P(z) plots: Yellow lines mark the cluster redshift z = 0.228,  

Object #2356   x,y = (1573, 3369)   RA, Dec = (06:03:31.416, 42:10:48.36) = (90.88090, 42.18010)   BPZ = 1.610 [0.346--5.221]   type = 11.00 (SB11_A_0_l)   stellarity = 0.35   chisq2 = 5.12   ODDS = 0.13   z_cluster = 0.228