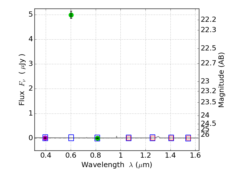
RXS0603+42-S IR detection object #2351

Color images and BPZ results
Catalog: 2351.cat
Black segments are analyzed here.   Roll mouse over color images to view segments.
Best viewed in a wide browser window (1200 pixels or more).   Download SED & P(z) plots to view larger versions.
In P(z) plots: Yellow lines mark the cluster redshift z = 0.228,  

Object #2351   x,y = (1539, 3374)   RA, Dec = (06:03:31.608, 42:10:48.72) = (90.88170, 42.18020)   BPZ = 1.597 [0.330--7.279]   type = 11.00 (SB11_A_0_l)   stellarity = 0.78   chisq2 = 1145.00   ODDS = 0.07   z_cluster = 0.228