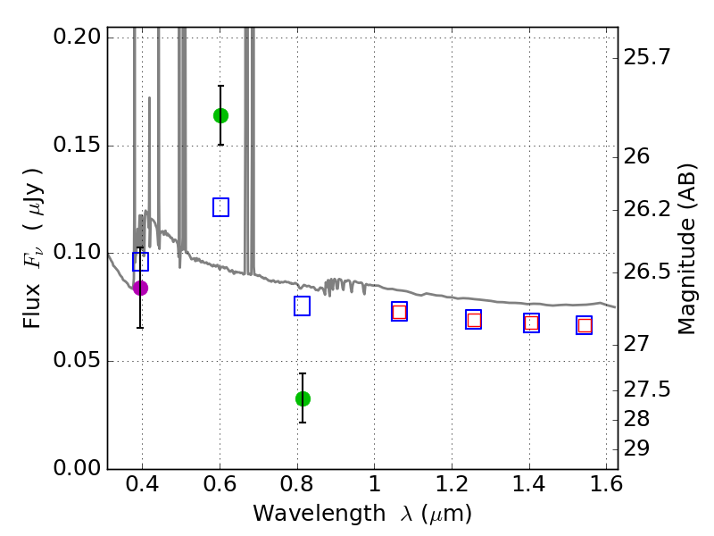
RXS0603+42-S IR detection object #2319

Color images and BPZ results
Catalog: 2319.cat
Black segments are analyzed here.   Roll mouse over color images to view segments.
Best viewed in a wide browser window (1200 pixels or more).   Download SED & P(z) plots to view larger versions.
In P(z) plots: Yellow lines mark the cluster redshift z = 0.228,  

Object #2319   x,y = (3968, 3387)   RA, Dec = (06:03:18.480, 42:10:49.44) = (90.82700, 42.18040)   BPZ = 0.024 [0.010--2.646]   type = 11.00 (SB11_A_0_l)   stellarity = 0.20   chisq2 = 16.81   ODDS = 0.90   z_cluster = 0.228