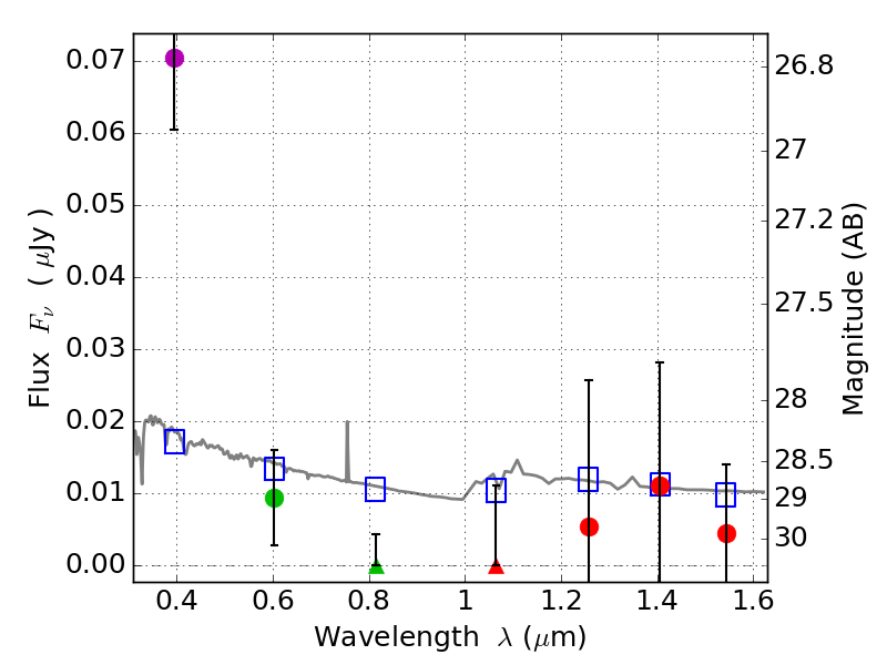
RXS0603+42-S IR detection object #2065

Color images and BPZ results
Catalog: 2065.cat
Black segments are analyzed here.   Roll mouse over color images to view segments.
Best viewed in a wide browser window (1200 pixels or more).   Download SED & P(z) plots to view larger versions.
In P(z) plots: Yellow lines mark the cluster redshift z = 0.228,  

Object #2065   x,y = (2231, 3510)   RA, Dec = (06:03:27.864, 42:10:57.00) = (90.86610, 42.18250)   BPZ = 1.697 [0.696--2.607]   type = 11.00 (SB11_A_0_l)   stellarity = 0.65   chisq2 = 8.70   ODDS = 0.26   z_cluster = 0.228