RXS0603+42-S IR detection object #2037

Color images and BPZ results
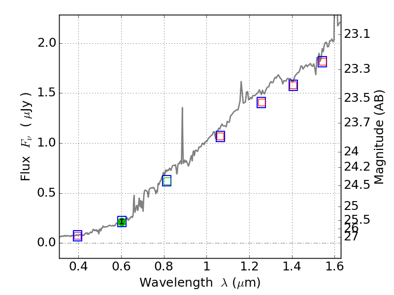
Catalog: 2037.cat
Black segments are analyzed here.   Roll mouse over color images to view segments.
Best viewed in a wide browser window (1200 pixels or more).   Download SED & P(z) plots to view larger versions.
In P(z) plots: Yellow lines mark the cluster redshift z = 0.228,  

Object #2037   x,y = (4503, 3504)   RA, Dec = (06:03:15.600, 42:10:56.64) = (90.81500, 42.18240)   BPZ = 0.767 [0.196--4.800]   type = 6.30 (Sbc_B10 - Scd_B10)   stellarity = 0.01   chisq2 = 990.00   ODDS = 0.08   z_cluster = 0.228