RXS0603+42-S IR detection object #2008

Color images and BPZ results
Catalog: 2008.cat
Black segments are analyzed here.   Roll mouse over color images to view segments.
Best viewed in a wide browser window (1200 pixels or more).   Download SED & P(z) plots to view larger versions.
In P(z) plots: Yellow lines mark the cluster redshift z = 0.228,  

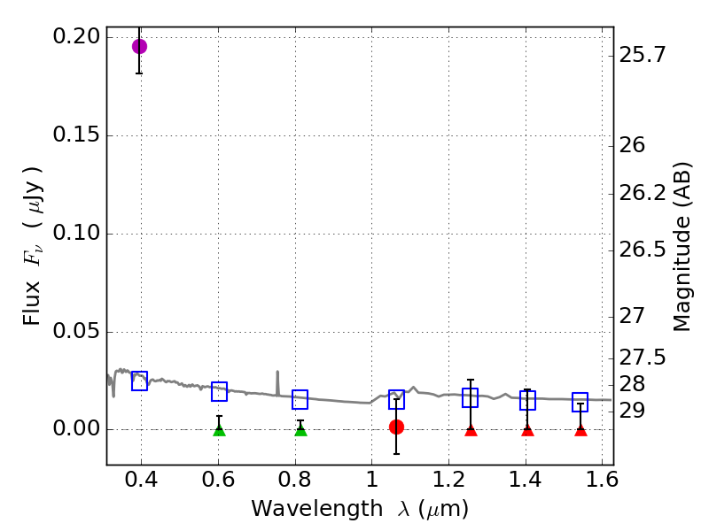
Object #2008   x,y = (3301, 3533)   RA, Dec = (06:03:22.080, 42:10:58.44) = (90.84200, 42.18290)   BPZ = 1.700 [1.117--2.228]   type = 11.00 (SB11_A_0_l)   stellarity = 0.68   chisq2 = 40.45   ODDS = 0.41   z_cluster = 0.228