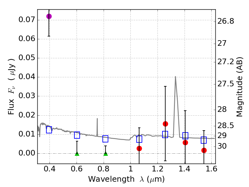
RXS0603+42-S IR detection object #2004

Color images and BPZ results
Catalog: 2004.cat
Black segments are analyzed here.   Roll mouse over color images to view segments.
Best viewed in a wide browser window (1200 pixels or more).   Download SED & P(z) plots to view larger versions.
In P(z) plots: Yellow lines mark the cluster redshift z = 0.228,  

Object #2004   x,y = (1742, 3536)   RA, Dec = (06:03:30.504, 42:10:58.44) = (90.87710, 42.18290)   BPZ = 1.695 [0.444--6.041]   type = 11.00 (SB11_A_0_l)   stellarity = 0.54   chisq2 = 9.47   ODDS = 0.16   z_cluster = 0.228