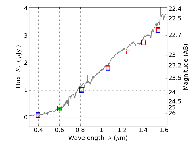
RXS0603+42-S IR detection object #20

Color images and BPZ results
Catalog: 20.cat
Black segments are analyzed here.   Roll mouse over color images to view segments.
Best viewed in a wide browser window (1200 pixels or more).   Download SED & P(z) plots to view larger versions.
In P(z) plots: Yellow lines mark the cluster redshift z = 0.228,  

Object #20   x,y = (1973, 4371)   RA, Dec = (06:03:29.256, 42:11:48.48) = (90.87190, 42.19680)   BPZ = 0.730 [0.183--4.374]   type = 6.00 (Sbc_B10)   stellarity = 1.00   chisq2 = 990.00   ODDS = 0.09   z_cluster = 0.228