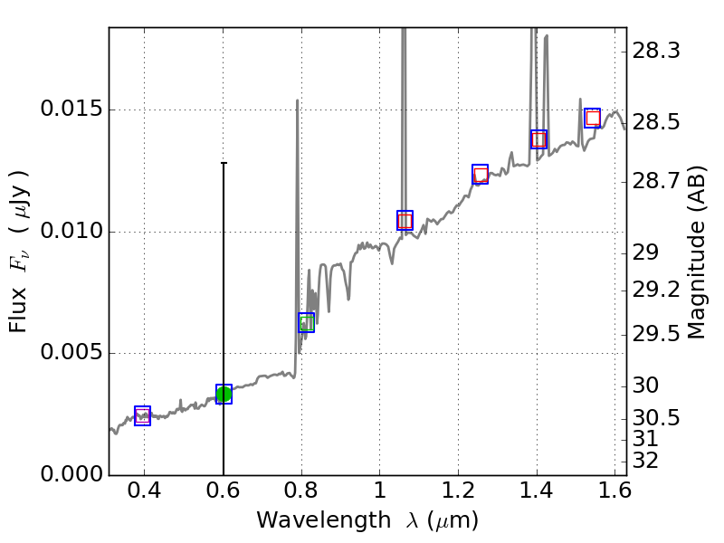
RXS0603+42-S IR detection object #1997

Color images and BPZ results
Catalog: 1997.cat
Black segments are analyzed here.   Roll mouse over color images to view segments.
Best viewed in a wide browser window (1200 pixels or more).   Download SED & P(z) plots to view larger versions.
In P(z) plots: Yellow lines mark the cluster redshift z = 0.228,  

Object #1997   x,y = (4396, 3538)   RA, Dec = (06:03:16.176, 42:10:58.44) = (90.81740, 42.18290)   BPZ = 1.123 [0.314--8.447]   type = 8.00 (SB1_B10)   stellarity = 0.65   chisq2 = 990.00   ODDS = 0.05   z_cluster = 0.228