RXS0603+42-S IR detection object #1947

Color images and BPZ results
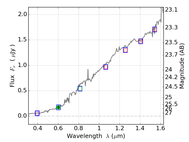
Catalog: 1947.cat
Black segments are analyzed here.   Roll mouse over color images to view segments.
Best viewed in a wide browser window (1200 pixels or more).   Download SED & P(z) plots to view larger versions.
In P(z) plots: Yellow lines mark the cluster redshift z = 0.228,  

Object #1947   x,y = (4501, 3518)   RA, Dec = (06:03:15.624, 42:10:57.36) = (90.81510, 42.18260)   BPZ = 0.781 [0.201--4.970]   type = 6.10 (Sbc_B10 - Scd_B10)   stellarity = 0.97   chisq2 = 990.00   ODDS = 0.08   z_cluster = 0.228