RXS0603+42-S IR detection object #1918

Color images and BPZ results
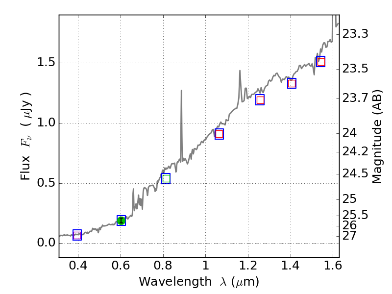
Catalog: 1918.cat
Black segments are analyzed here.   Roll mouse over color images to view segments.
Best viewed in a wide browser window (1200 pixels or more).   Download SED & P(z) plots to view larger versions.
In P(z) plots: Yellow lines mark the cluster redshift z = 0.228,  

Object #1918   x,y = (4457, 3560)   RA, Dec = (06:03:15.864, 42:10:59.88) = (90.81610, 42.18330)   BPZ = 0.774 [0.198--4.885]   type = 6.40 (Sbc_B10 - Scd_B10)   stellarity = 0.01   chisq2 = 990.00   ODDS = 0.08   z_cluster = 0.228