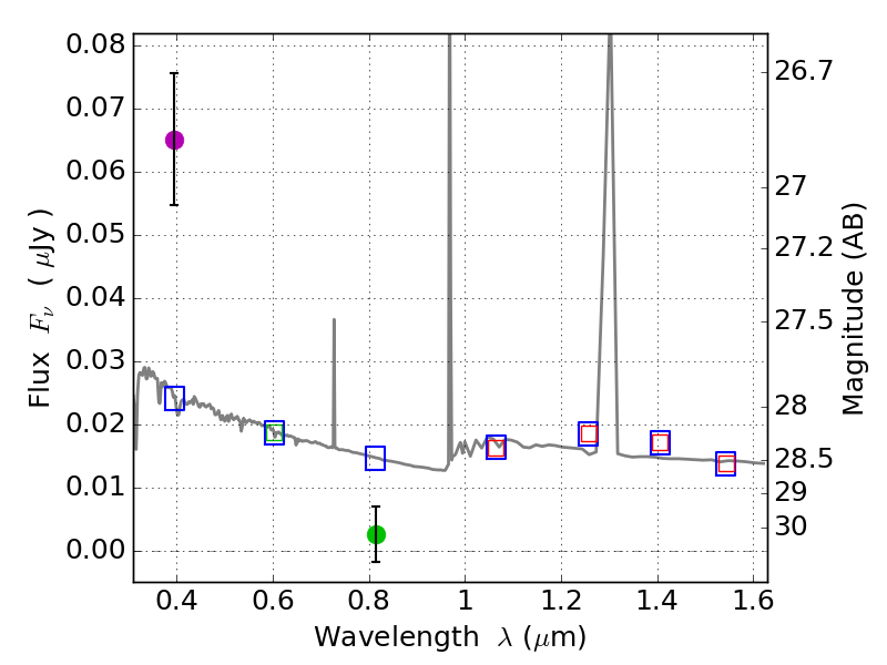
RXS0603+42-S IR detection object #1865

Color images and BPZ results
Catalog: 1865.cat
Black segments are analyzed here.   Roll mouse over color images to view segments.
Best viewed in a wide browser window (1200 pixels or more).   Download SED & P(z) plots to view larger versions.
In P(z) plots: Yellow lines mark the cluster redshift z = 0.228,  

Object #1865   x,y = (1564, 3579)   RA, Dec = (06:03:31.464, 42:11:00.96) = (90.88110, 42.18360)   BPZ = 1.596 [0.890--2.486]   type = 11.00 (SB11_A_0_l)   stellarity = 0.49   chisq2 = 21.62   ODDS = 0.24   z_cluster = 0.228