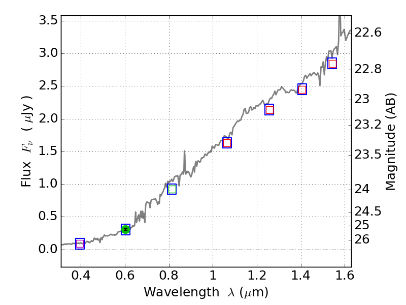
RXS0603+42-S IR detection object #1844

Color images and BPZ results
Catalog: 1844.cat
Black segments are analyzed here.   Roll mouse over color images to view segments.
Best viewed in a wide browser window (1200 pixels or more).   Download SED & P(z) plots to view larger versions.
In P(z) plots: Yellow lines mark the cluster redshift z = 0.228,  

Object #1844   x,y = (4543, 3586)   RA, Dec = (06:03:15.384, 42:11:01.32) = (90.81410, 42.18370)   BPZ = 0.737 [0.185--4.460]   type = 6.10 (Sbc_B10 - Scd_B10)   stellarity = 0.98   chisq2 = 990.00   ODDS = 0.09   z_cluster = 0.228