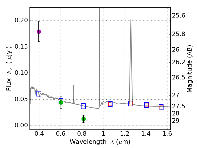
RXS0603+42-S IR detection object #1843

Color images and BPZ results
Catalog: 1843.cat
Black segments are analyzed here.   Roll mouse over color images to view segments.
Best viewed in a wide browser window (1200 pixels or more).   Download SED & P(z) plots to view larger versions.
In P(z) plots: Yellow lines mark the cluster redshift z = 0.228,  

Object #1843   x,y = (2463, 3587)   RA, Dec = (06:03:26.616, 42:11:01.68) = (90.86090, 42.18380)   BPZ = 1.594 [1.274--2.154]   type = 11.00 (SB11_A_0_l)   stellarity = 0.42   chisq2 = 43.92   ODDS = 0.36   z_cluster = 0.228