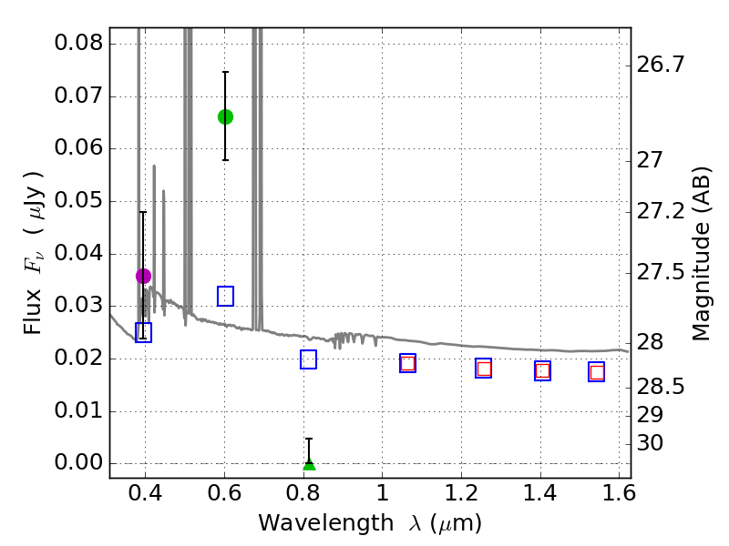
RXS0603+42-S IR detection object #1791

Color images and BPZ results
Catalog: 1791.cat
Black segments are analyzed here.   Roll mouse over color images to view segments.
Best viewed in a wide browser window (1200 pixels or more).   Download SED & P(z) plots to view larger versions.
In P(z) plots: Yellow lines mark the cluster redshift z = 0.228,  

Object #1791   x,y = (2809, 3612)   RA, Dec = (06:03:24.744, 42:11:03.12) = (90.85310, 42.18420)   BPZ = 0.026 [0.026--2.763]   type = 11.00 (SB11_A_0_l)   stellarity = 0.39   chisq2 = 31.01   ODDS = 0.06   z_cluster = 0.228