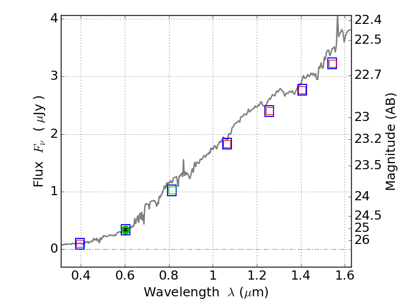
RXS0603+42-S IR detection object #1725

Color images and BPZ results
Catalog: 1725.cat
Black segments are analyzed here.   Roll mouse over color images to view segments.
Best viewed in a wide browser window (1200 pixels or more).   Download SED & P(z) plots to view larger versions.
In P(z) plots: Yellow lines mark the cluster redshift z = 0.228,  

Object #1725   x,y = (4381, 3637)   RA, Dec = (06:03:16.272, 42:11:04.56) = (90.81780, 42.18460)   BPZ = 0.730 [0.183--4.374]   type = 6.00 (Sbc_B10)   stellarity = 1.00   chisq2 = 990.00   ODDS = 0.09   z_cluster = 0.228