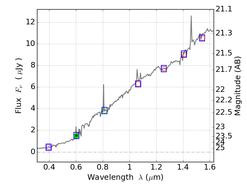
RXS0603+42-S IR detection object #1677

Color images and BPZ results
Catalog: 1677.cat
Black segments are analyzed here.   Roll mouse over color images to view segments.
Best viewed in a wide browser window (1200 pixels or more).   Download SED & P(z) plots to view larger versions.
In P(z) plots: Yellow lines mark the cluster redshift z = 0.228,  

Object #1677   x,y = (4523, 3606)   RA, Dec = (06:03:15.504, 42:11:02.76) = (90.81460, 42.18410)   BPZ = 0.609 [0.141--2.922]   type = 6.30 (Sbc_B10 - Scd_B10)   stellarity = 1.00   chisq2 = 990.00   ODDS = 0.11   z_cluster = 0.228