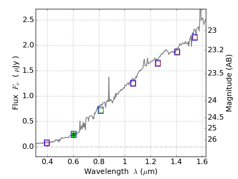
RXS0603+42-S IR detection object #1630

Color images and BPZ results
Catalog: 1630.cat
Black segments are analyzed here.   Roll mouse over color images to view segments.
Best viewed in a wide browser window (1200 pixels or more).   Download SED & P(z) plots to view larger versions.
In P(z) plots: Yellow lines mark the cluster redshift z = 0.228,  

Object #1630   x,y = (4364, 3660)   RA, Dec = (06:03:16.344, 42:11:06.00) = (90.81810, 42.18500)   BPZ = 0.752 [0.190--4.630]   type = 6.20 (Sbc_B10 - Scd_B10)   stellarity = 0.90   chisq2 = 990.00   ODDS = 0.08   z_cluster = 0.228