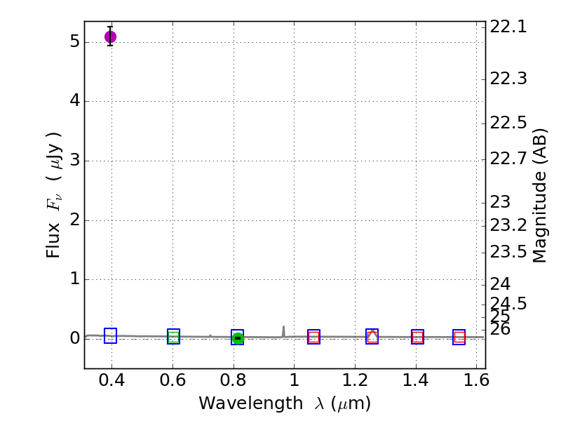
RXS0603+42-S IR detection object #1604

Color images and BPZ results
Catalog: 1604.cat
Black segments are analyzed here.   Roll mouse over color images to view segments.
Best viewed in a wide browser window (1200 pixels or more).   Download SED & P(z) plots to view larger versions.
In P(z) plots: Yellow lines mark the cluster redshift z = 0.228,  

Object #1604   x,y = (1511, 3732)   RA, Dec = (06:03:31.752, 42:11:10.32) = (90.88230, 42.18620)   BPZ = 1.595 [0.631--2.798]   type = 11.00 (SB11_A_0_l)   stellarity = 1.00   chisq2 = 1063.00   ODDS = 0.22   z_cluster = 0.228