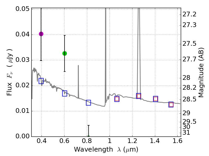
RXS0603+42-S IR detection object #1599

Color images and BPZ results
Catalog: 1599.cat
Black segments are analyzed here.   Roll mouse over color images to view segments.
Best viewed in a wide browser window (1200 pixels or more).   Download SED & P(z) plots to view larger versions.
In P(z) plots: Yellow lines mark the cluster redshift z = 0.228,  

Object #1599   x,y = (1701, 3668)   RA, Dec = (06:03:30.720, 42:11:06.36) = (90.87800, 42.18510)   BPZ = 1.595 [0.721--2.715]   type = 11.00 (SB11_A_0_l)   stellarity = 0.35   chisq2 = 15.93   ODDS = 0.21   z_cluster = 0.228