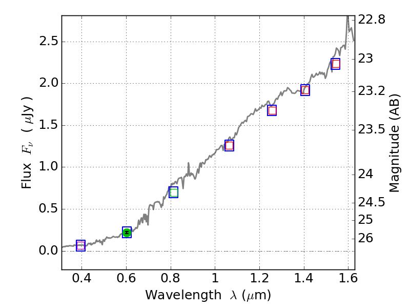
RXS0603+42-S IR detection object #1514

Color images and BPZ results
Catalog: 1514.cat
Black segments are analyzed here.   Roll mouse over color images to view segments.
Best viewed in a wide browser window (1200 pixels or more).   Download SED & P(z) plots to view larger versions.
In P(z) plots: Yellow lines mark the cluster redshift z = 0.228,  

Object #1514   x,y = (4047, 3699)   RA, Dec = (06:03:18.072, 42:11:08.16) = (90.82530, 42.18560)   BPZ = 0.759 [0.193--4.715]   type = 6.00 (Sbc_B10)   stellarity = 0.65   chisq2 = 990.00   ODDS = 0.08   z_cluster = 0.228