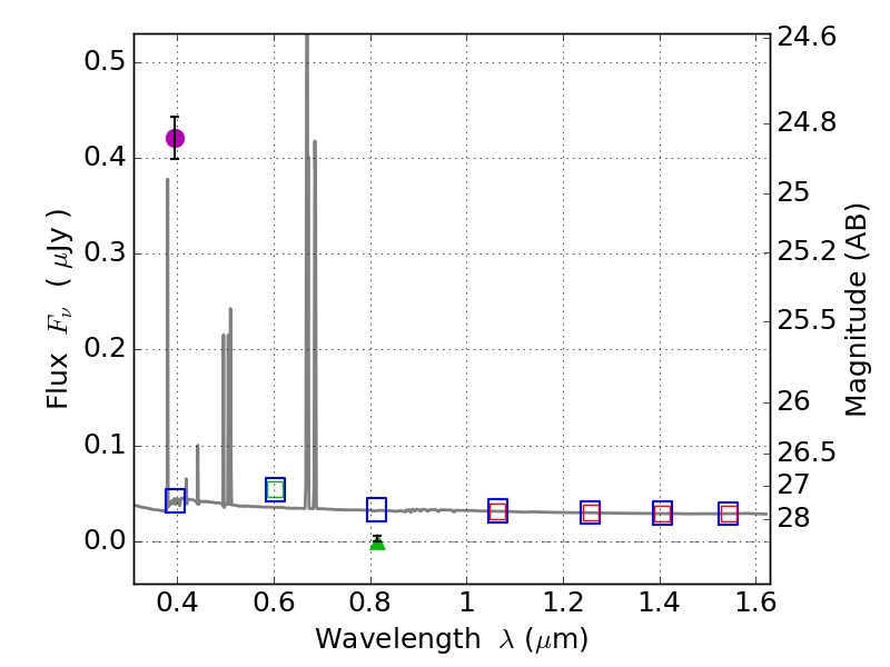
RXS0603+42-S IR detection object #1508

Color images and BPZ results
Catalog: 1508.cat
Black segments are analyzed here.   Roll mouse over color images to view segments.
Best viewed in a wide browser window (1200 pixels or more).   Download SED & P(z) plots to view larger versions.
In P(z) plots: Yellow lines mark the cluster redshift z = 0.228,  

Object #1508   x,y = (1580, 3702)   RA, Dec = (06:03:31.392, 42:11:08.52) = (90.88080, 42.18570)   BPZ = 0.020 [0.010--1.582]   type = 11.00 (SB11_A_0_l)   stellarity = 0.99   chisq2 = 301.70   ODDS = 0.89   z_cluster = 0.228