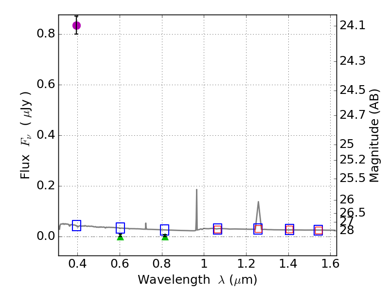
RXS0603+42-S IR detection object #1501

Color images and BPZ results
Catalog: 1501.cat
Black segments are analyzed here.   Roll mouse over color images to view segments.
Best viewed in a wide browser window (1200 pixels or more).   Download SED & P(z) plots to view larger versions.
In P(z) plots: Yellow lines mark the cluster redshift z = 0.228,  

Object #1501   x,y = (3802, 3703)   RA, Dec = (06:03:19.392, 42:11:08.52) = (90.83080, 42.18570)   BPZ = 1.594 [1.149--2.113]   type = 11.00 (SB11_A_0_l)   stellarity = 0.99   chisq2 = 536.50   ODDS = 0.35   z_cluster = 0.228