RXS0603+42-S IR detection object #148

Color images and BPZ results
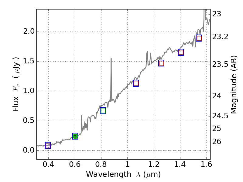
Catalog: 148.cat
Black segments are analyzed here.   Roll mouse over color images to view segments.
Best viewed in a wide browser window (1200 pixels or more).   Download SED & P(z) plots to view larger versions.
In P(z) plots: Yellow lines mark the cluster redshift z = 0.228,  

Object #148   x,y = (2262, 4275)   RA, Dec = (06:03:27.696, 42:11:42.72) = (90.86540, 42.19520)   BPZ = 0.752 [0.190--4.630]   type = 6.40 (Sbc_B10 - Scd_B10)   stellarity = 0.99   chisq2 = 990.00   ODDS = 0.08   z_cluster = 0.228