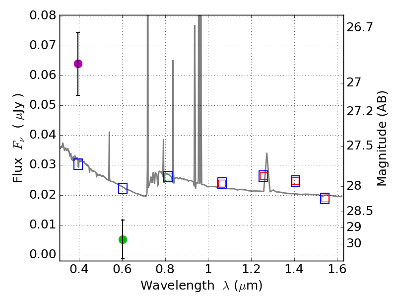
RXS0603+42-S IR detection object #1469

Color images and BPZ results
Catalog: 1469.cat
Black segments are analyzed here.   Roll mouse over color images to view segments.
Best viewed in a wide browser window (1200 pixels or more).   Download SED & P(z) plots to view larger versions.
In P(z) plots: Yellow lines mark the cluster redshift z = 0.228,  

Object #1469   x,y = (2708, 3719)   RA, Dec = (06:03:25.296, 42:11:09.60) = (90.85540, 42.18600)   BPZ = 0.932 [0.634--2.334]   type = 11.00 (SB11_A_0_l)   stellarity = 0.37   chisq2 = 16.14   ODDS = 0.12   z_cluster = 0.228