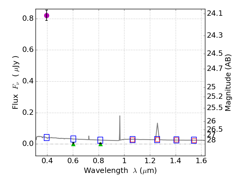
RXS0603+42-S IR detection object #1454

Color images and BPZ results
Catalog: 1454.cat
Black segments are analyzed here.   Roll mouse over color images to view segments.
Best viewed in a wide browser window (1200 pixels or more).   Download SED & P(z) plots to view larger versions.
In P(z) plots: Yellow lines mark the cluster redshift z = 0.228,  

Object #1454   x,y = (3711, 3725)   RA, Dec = (06:03:19.872, 42:11:09.96) = (90.83280, 42.18610)   BPZ = 1.594 [1.204--2.100]   type = 11.00 (SB11_A_0_l)   stellarity = 0.89   chisq2 = 564.60   ODDS = 0.37   z_cluster = 0.228