RXS0603+42-S IR detection object #1392

Color images and BPZ results
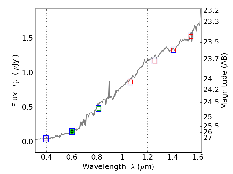
Catalog: 1392.cat
Black segments are analyzed here.   Roll mouse over color images to view segments.
Best viewed in a wide browser window (1200 pixels or more).   Download SED & P(z) plots to view larger versions.
In P(z) plots: Yellow lines mark the cluster redshift z = 0.228,  

Object #1392   x,y = (4042, 3744)   RA, Dec = (06:03:18.096, 42:11:11.04) = (90.82540, 42.18640)   BPZ = 0.789 [0.203--5.054]   type = 6.10 (Sbc_B10 - Scd_B10)   stellarity = 0.87   chisq2 = 990.00   ODDS = 0.08   z_cluster = 0.228