RXS0603+42-S IR detection object #1387

Color images and BPZ results
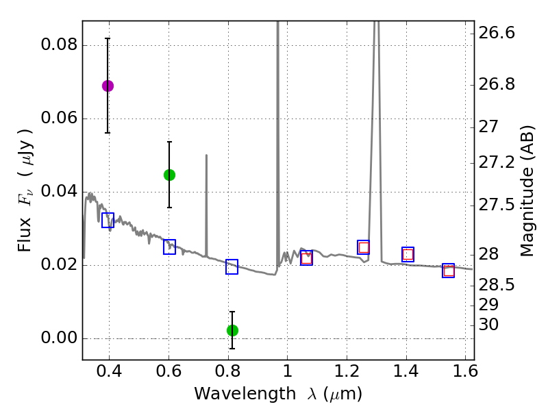
Catalog: 1387.cat
Black segments are analyzed here.   Roll mouse over color images to view segments.
Best viewed in a wide browser window (1200 pixels or more).   Download SED & P(z) plots to view larger versions.
In P(z) plots: Yellow lines mark the cluster redshift z = 0.228,  

Object #1387   x,y = (2111, 3746)   RA, Dec = (06:03:28.512, 42:11:11.04) = (90.86880, 42.18640)   BPZ = 1.596 [1.215--2.457]   type = 11.00 (SB11_A_0_l)   stellarity = 0.41   chisq2 = 22.35   ODDS = 0.26   z_cluster = 0.228