RXS0603+42-S IR detection object #1342

Color images and BPZ results
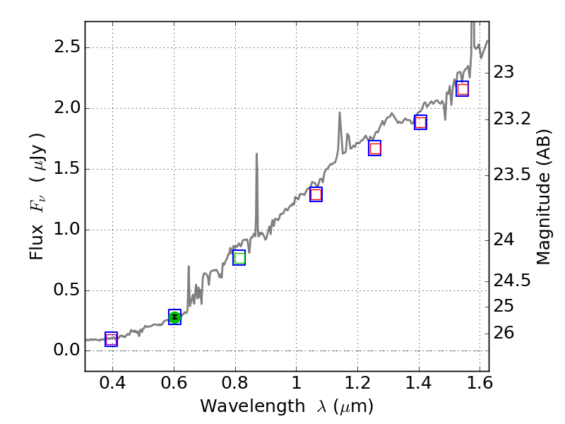
Catalog: 1342.cat
Black segments are analyzed here.   Roll mouse over color images to view segments.
Best viewed in a wide browser window (1200 pixels or more).   Download SED & P(z) plots to view larger versions.
In P(z) plots: Yellow lines mark the cluster redshift z = 0.228,  

Object #1342   x,y = (3979, 3763)   RA, Dec = (06:03:18.432, 42:11:12.12) = (90.82680, 42.18670)   BPZ = 0.745 [0.188--4.545]   type = 6.40 (Sbc_B10 - Scd_B10)   stellarity = 0.99   chisq2 = 990.00   ODDS = 0.09   z_cluster = 0.228