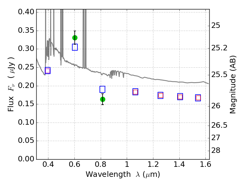
RXS0603+42-S IR detection object #1295

Color images and BPZ results
Catalog: 1295.cat
Black segments are analyzed here.   Roll mouse over color images to view segments.
Best viewed in a wide browser window (1200 pixels or more).   Download SED & P(z) plots to view larger versions.
In P(z) plots: Yellow lines mark the cluster redshift z = 0.228,  

Object #1295   x,y = (3941, 3781)   RA, Dec = (06:03:18.648, 42:11:13.20) = (90.82770, 42.18700)   BPZ = 0.024 [0.010--1.456]   type = 11.00 (SB11_A_0_l)   stellarity = 0.66   chisq2 = 2.04   ODDS = 0.97   z_cluster = 0.228