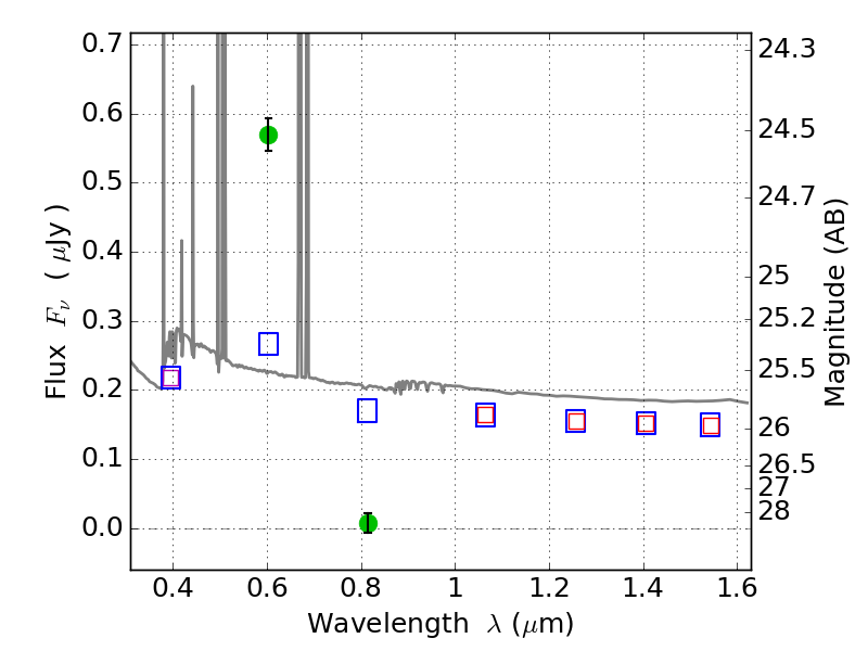
RXS0603+42-S IR detection object #1292

Color images and BPZ results
Catalog: 1292.cat
Black segments are analyzed here.   Roll mouse over color images to view segments.
Best viewed in a wide browser window (1200 pixels or more).   Download SED & P(z) plots to view larger versions.
In P(z) plots: Yellow lines mark the cluster redshift z = 0.228,  

Object #1292   x,y = (3927, 3781)   RA, Dec = (06:03:18.720, 42:11:13.20) = (90.82800, 42.18700)   BPZ = 0.017 [0.010--0.034]   type = 11.00 (SB11_A_0_l)   stellarity = 0.68   chisq2 = 152.50   ODDS = 1.00   z_cluster = 0.228