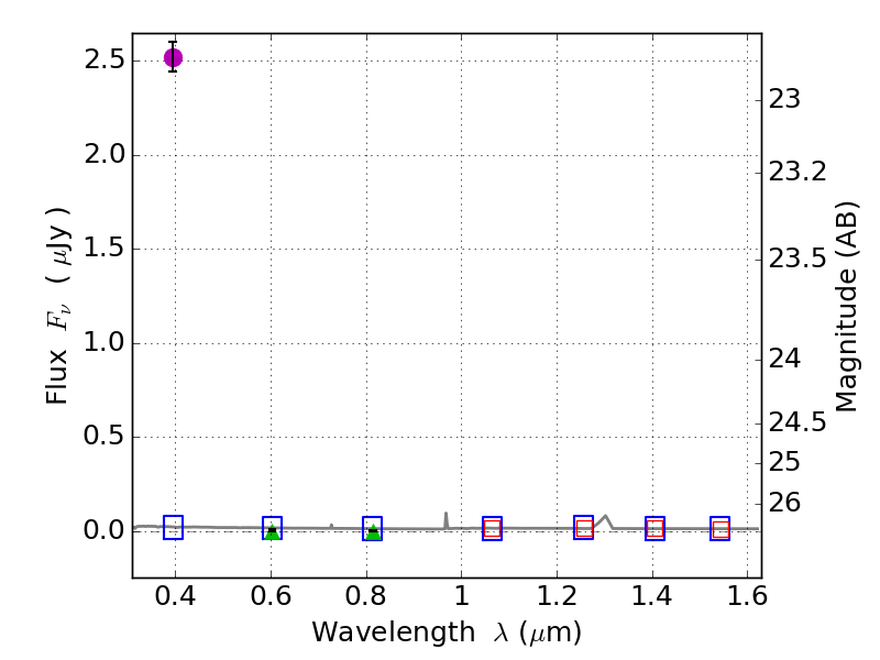
RXS0603+42-S IR detection object #1287

Color images and BPZ results
Catalog: 1287.cat
Black segments are analyzed here.   Roll mouse over color images to view segments.
Best viewed in a wide browser window (1200 pixels or more).   Download SED & P(z) plots to view larger versions.
In P(z) plots: Yellow lines mark the cluster redshift z = 0.228,  

Object #1287   x,y = (3529, 3783)   RA, Dec = (06:03:20.856, 42:11:13.20) = (90.83690, 42.18700)   BPZ = 1.597 [0.545--6.847]   type = 11.00 (SB11_A_0_l)   stellarity = 0.99   chisq2 = 1015.00   ODDS = 0.16   z_cluster = 0.228