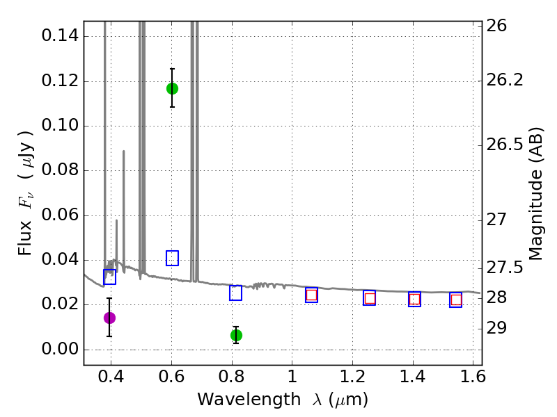
RXS0603+42-S IR detection object #1275

Color images and BPZ results
Catalog: 1275.cat
Black segments are analyzed here.   Roll mouse over color images to view segments.
Best viewed in a wide browser window (1200 pixels or more).   Download SED & P(z) plots to view larger versions.
In P(z) plots: Yellow lines mark the cluster redshift z = 0.228,  

Object #1275   x,y = (2273, 3790)   RA, Dec = (06:03:27.648, 42:11:13.56) = (90.86520, 42.18710)   BPZ = 0.022 [0.010--2.714]   type = 11.00 (SB11_A_0_l)   stellarity = 0.49   chisq2 = 91.29   ODDS = 0.95   z_cluster = 0.228