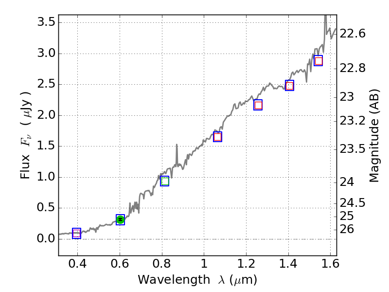
RXS0603+42-S IR detection object #127

Color images and BPZ results
Catalog: 127.cat
Black segments are analyzed here.   Roll mouse over color images to view segments.
Best viewed in a wide browser window (1200 pixels or more).   Download SED & P(z) plots to view larger versions.
In P(z) plots: Yellow lines mark the cluster redshift z = 0.228,  

Object #127   x,y = (2095, 4287)   RA, Dec = (06:03:28.608, 42:11:43.44) = (90.86920, 42.19540)   BPZ = 0.737 [0.185--4.459]   type = 6.10 (Sbc_B10 - Scd_B10)   stellarity = 0.65   chisq2 = 990.00   ODDS = 0.09   z_cluster = 0.228