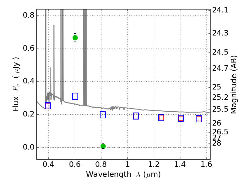
RXS0603+42-S IR detection object #1262

Color images and BPZ results
Catalog: 1262.cat
Black segments are analyzed here.   Roll mouse over color images to view segments.
Best viewed in a wide browser window (1200 pixels or more).   Download SED & P(z) plots to view larger versions.
In P(z) plots: Yellow lines mark the cluster redshift z = 0.228,  

Object #1262   x,y = (3935, 3792)   RA, Dec = (06:03:18.672, 42:11:13.92) = (90.82780, 42.18720)   BPZ = 0.017 [0.010--0.033]   type = 11.00 (SB11_A_0_l)   stellarity = 0.98   chisq2 = 169.30   ODDS = 1.00   z_cluster = 0.228