RXS0603+42-S IR detection object #1198

Color images and BPZ results
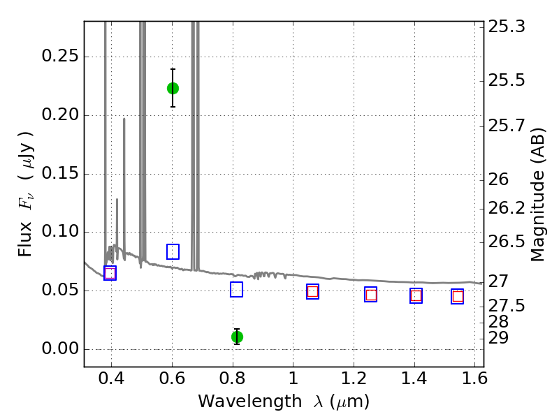
Catalog: 1198.cat
Black segments are analyzed here.   Roll mouse over color images to view segments.
Best viewed in a wide browser window (1200 pixels or more).   Download SED & P(z) plots to view larger versions.
In P(z) plots: Yellow lines mark the cluster redshift z = 0.228,  

Object #1198   x,y = (3783, 3821)   RA, Dec = (06:03:19.488, 42:11:15.72) = (90.83120, 42.18770)   BPZ = 0.021 [0.010--1.644]   type = 11.00 (SB11_A_0_l)   stellarity = 0.99   chisq2 = 87.66   ODDS = 0.97   z_cluster = 0.228