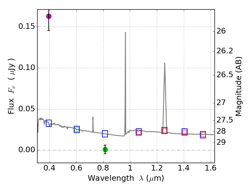
RXS0603+42-S IR detection object #1095

Color images and BPZ results
Catalog: 1095.cat
Black segments are analyzed here.   Roll mouse over color images to view segments.
Best viewed in a wide browser window (1200 pixels or more).   Download SED & P(z) plots to view larger versions.
In P(z) plots: Yellow lines mark the cluster redshift z = 0.228,  

Object #1095   x,y = (1652, 3874)   RA, Dec = (06:03:30.984, 42:11:18.60) = (90.87910, 42.18850)   BPZ = 1.595 [1.111--2.348]   type = 11.00 (SB11_A_0_l)   stellarity = 0.66   chisq2 = 66.39   ODDS = 0.29   z_cluster = 0.228