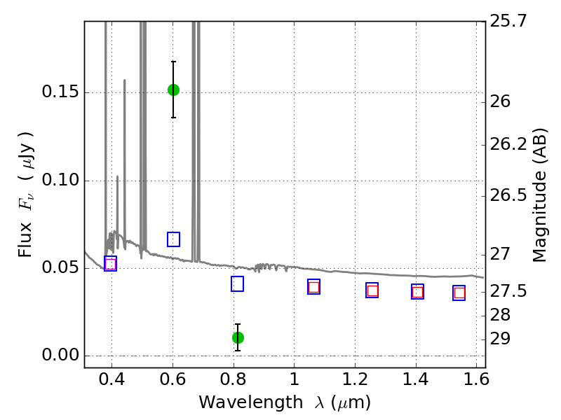
RXS0603+42-S IR detection object #1089

Color images and BPZ results
Catalog: 1089.cat
Black segments are analyzed here.   Roll mouse over color images to view segments.
Best viewed in a wide browser window (1200 pixels or more).   Download SED & P(z) plots to view larger versions.
In P(z) plots: Yellow lines mark the cluster redshift z = 0.228,  

Object #1089   x,y = (3445, 3876)   RA, Dec = (06:03:21.312, 42:11:18.96) = (90.83880, 42.18860)   BPZ = 0.025 [0.016--3.041]   type = 11.00 (SB11_A_0_l)   stellarity = 0.64   chisq2 = 38.95   ODDS = 0.18   z_cluster = 0.228