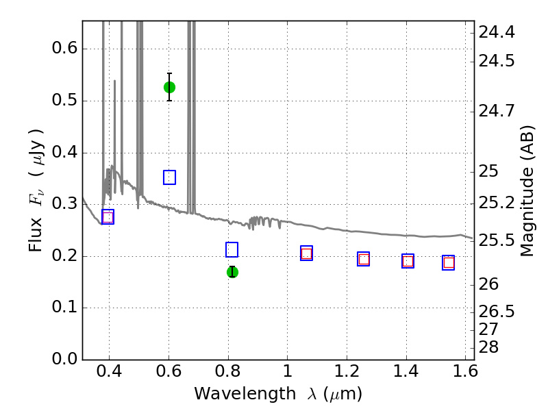
RXS0603+42-S IR detection object #1030

Color images and BPZ results
Catalog: 1030.cat
Black segments are analyzed here.   Roll mouse over color images to view segments.
Best viewed in a wide browser window (1200 pixels or more).   Download SED & P(z) plots to view larger versions.
In P(z) plots: Yellow lines mark the cluster redshift z = 0.228,  

Object #1030   x,y = (3621, 3898)   RA, Dec = (06:03:20.376, 42:11:20.04) = (90.83490, 42.18890)   BPZ = 0.018 [0.010--0.039]   type = 11.00 (SB11_A_0_l)   stellarity = 0.89   chisq2 = 26.99   ODDS = 1.00   z_cluster = 0.228