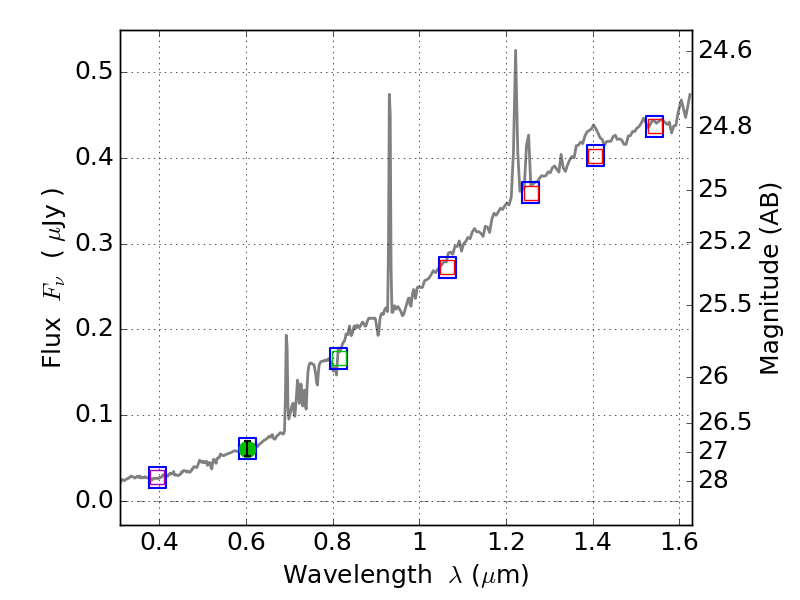
RXS0603+42-S IR detection object #102

Color images and BPZ results
Catalog: 102.cat
Black segments are analyzed here.   Roll mouse over color images to view segments.
Best viewed in a wide browser window (1200 pixels or more).   Download SED & P(z) plots to view larger versions.
In P(z) plots: Yellow lines mark the cluster redshift z = 0.228,  

Object #102   x,y = (1942, 4301)   RA, Dec = (06:03:29.424, 42:11:44.52) = (90.87260, 42.19570)   BPZ = 0.864 [0.229--5.880]   type = 6.70 (Scd_B10 - Sbc_B10)   stellarity = 0.67   chisq2 = 990.00   ODDS = 0.07   z_cluster = 0.228