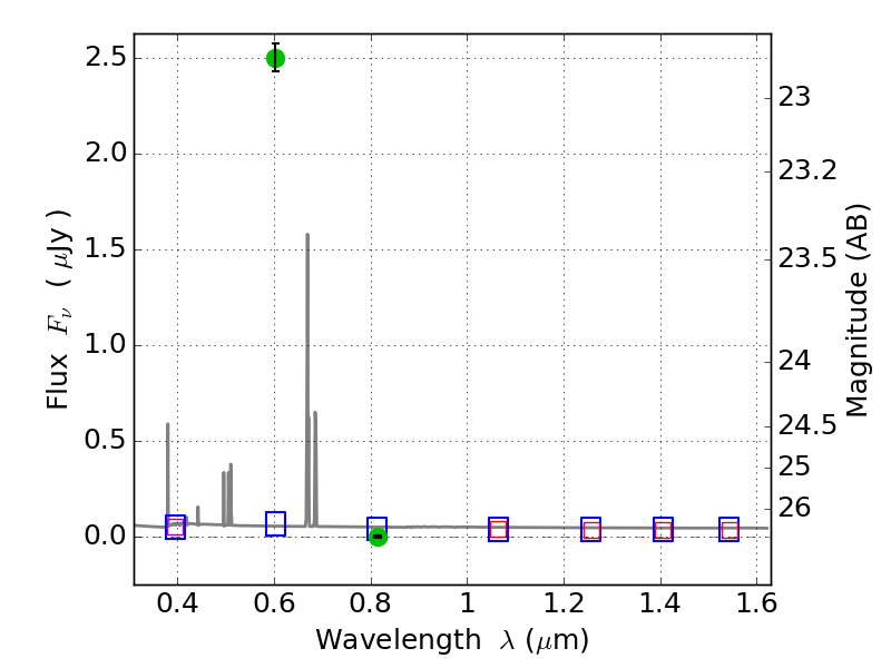
RXS0603+42-S IR detection object #1003

Color images and BPZ results
Catalog: 1003.cat
Black segments are analyzed here.   Roll mouse over color images to view segments.
Best viewed in a wide browser window (1200 pixels or more).   Download SED & P(z) plots to view larger versions.
In P(z) plots: Yellow lines mark the cluster redshift z = 0.228,  

Object #1003   x,y = (3455, 3918)   RA, Dec = (06:03:21.264, 42:11:21.48) = (90.83860, 42.18930)   BPZ = 0.024 [0.017--3.242]   type = 11.00 (SB11_A_0_l)   stellarity = 1.00   chisq2 = 1080.00   ODDS = 0.13   z_cluster = 0.228