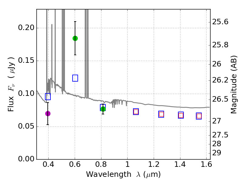
RXS0603+42-S ACS+IR detection object #8829

Color images and BPZ results
Catalog: 8829.cat
Black segments are analyzed here.   Roll mouse over color images to view segments.
Best viewed in a wide browser window (1200 pixels or more).   Download SED & P(z) plots to view larger versions.
In P(z) plots: Yellow lines mark the cluster redshift z = 0.228,  

Object #8829   x,y = (3209, 1105)   RA, Dec = (06:03:22.584, 42:08:32.64) = (90.84410, 42.14240)   BPZ = 0.039 [0.030--3.007]   type = 11.00 (SB11_A_0_l)   stellarity = 0.08   chisq2 = 7.12   ODDS = 0.08   z_cluster = 0.228