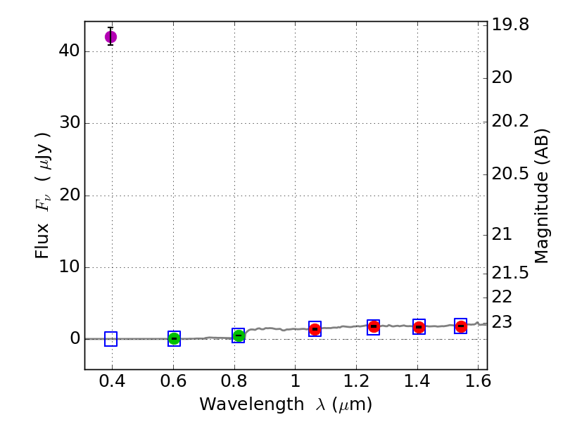
RXS0603+42-S ACS+IR detection object #8239

Color images and BPZ results
Catalog: 8239.cat
Black segments are analyzed here.   Roll mouse over color images to view segments.
Best viewed in a wide browser window (1200 pixels or more).   Download SED & P(z) plots to view larger versions.
In P(z) plots: Yellow lines mark the cluster redshift z = 0.228,  

Object #8239   x,y = (3564, 1304)   RA, Dec = (06:03:20.688, 42:08:44.52) = (90.83620, 42.14570)   BPZ = 5.866 [5.697--5.939]   type = 7.80 (SB1_B10 - Scd_B10)   stellarity = 0.99   chisq2 = 285.00   ODDS = 1.00   z_cluster = 0.228