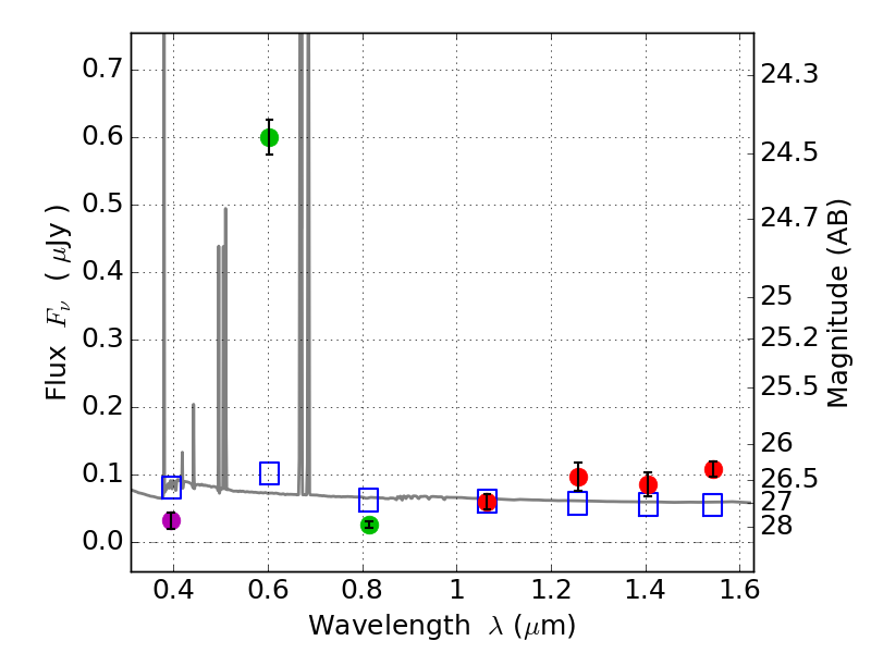
RXS0603+42-S ACS+IR detection object #8175

Color images and BPZ results
Catalog: 8175.cat
Black segments are analyzed here.   Roll mouse over color images to view segments.
Best viewed in a wide browser window (1200 pixels or more).   Download SED & P(z) plots to view larger versions.
In P(z) plots: Yellow lines mark the cluster redshift z = 0.228,  

Object #8175   x,y = (2421, 1330)   RA, Dec = (06:03:26.832, 42:08:45.96) = (90.86180, 42.14610)   BPZ = 0.020 [0.012--2.715]   type = 11.00 (SB11_A_0_l)   stellarity = 0.87   chisq2 = 99.24   ODDS = 0.21   z_cluster = 0.228