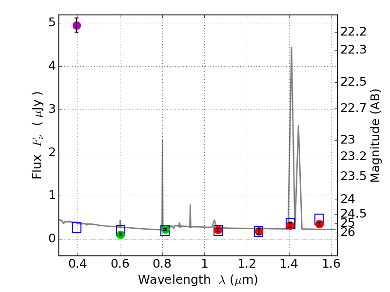
RXS0603+42-S ACS+IR detection object #7808

Color images and BPZ results
Catalog: 7808.cat
Black segments are analyzed here.   Roll mouse over color images to view segments.
Best viewed in a wide browser window (1200 pixels or more).   Download SED & P(z) plots to view larger versions.
In P(z) plots: Yellow lines mark the cluster redshift z = 0.228,  

Object #7808   x,y = (3596, 1409)   RA, Dec = (06:03:20.496, 42:08:51.00) = (90.83540, 42.14750)   BPZ = 1.150 [1.105--1.875]   type = 11.00 (SB11_A_0_l)   stellarity = 0.95   chisq2 = 207.60   ODDS = 0.49   z_cluster = 0.228