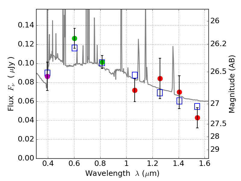
RXS0603+42-S ACS+IR detection object #7433

Color images and BPZ results
Catalog: 7433.cat
Black segments are analyzed here.   Roll mouse over color images to view segments.
Best viewed in a wide browser window (1200 pixels or more).   Download SED & P(z) plots to view larger versions.
In P(z) plots: Yellow lines mark the cluster redshift z = 0.228,  

Object #7433   x,y = (2480, 1590)   RA, Dec = (06:03:26.520, 42:09:01.80) = (90.86050, 42.15050)   BPZ = 0.062 [0.017--2.586]   type = 10.40 (SB3_B10 - SB11_A_0_l)   stellarity = 0.67   chisq2 = 0.84   ODDS = 0.79   z_cluster = 0.228