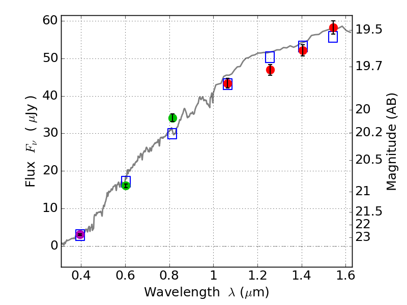
RXS0603+42-S ACS+IR detection object #7095

Color images and BPZ results
Catalog: 7095.cat
Black segments are analyzed here.   Roll mouse over color images to view segments.
Best viewed in a wide browser window (1200 pixels or more).   Download SED & P(z) plots to view larger versions.
In P(z) plots: Yellow lines mark the cluster redshift z = 0.228,  

Object #7095   x,y = (2968, 1849)   RA, Dec = (06:03:23.880, 42:09:17.28) = (90.84950, 42.15480)   BPZ = 0.152 [0.066--0.195]   type = 4.10 (Ell4_A_0 - ES0_B10)   stellarity = 0.89   chisq2 = 0.61   ODDS = 0.83   z_cluster = 0.228