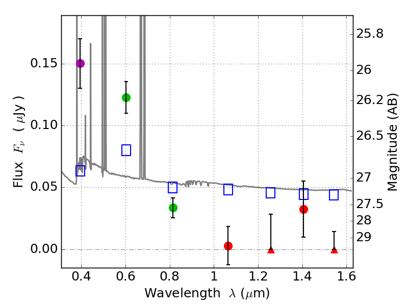
RXS0603+42-S ACS+IR detection object #6102

Color images and BPZ results
Catalog: 6102.cat
Black segments are analyzed here.   Roll mouse over color images to view segments.
Best viewed in a wide browser window (1200 pixels or more).   Download SED & P(z) plots to view larger versions.
In P(z) plots: Yellow lines mark the cluster redshift z = 0.228,  

Object #6102   x,y = (3620, 2559)   RA, Dec = (06:03:20.376, 42:09:59.76) = (90.83490, 42.16660)   BPZ = 0.024 [0.012--2.423]   type = 11.00 (SB11_A_0_l)   stellarity = 0.07   chisq2 = 12.27   ODDS = 0.39   z_cluster = 0.228