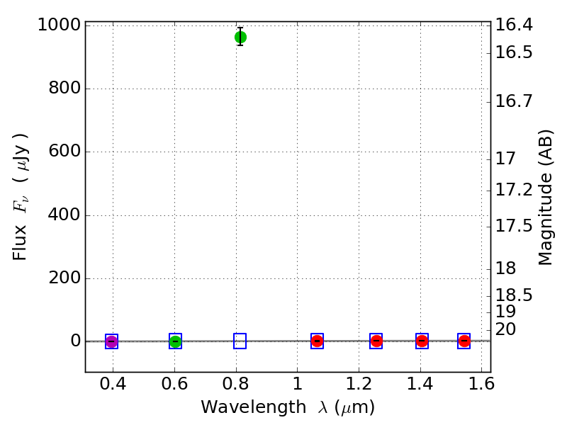
RXS0603+42-S ACS+IR detection object #5999

Color images and BPZ results
Catalog: 5999.cat
Black segments are analyzed here.   Roll mouse over color images to view segments.
Best viewed in a wide browser window (1200 pixels or more).   Download SED & P(z) plots to view larger versions.
In P(z) plots: Yellow lines mark the cluster redshift z = 0.228,  

Object #5999   x,y = (3628, 2319)   RA, Dec = (06:03:20.328, 42:09:45.36) = (90.83470, 42.16260)   BPZ = 0.410 [0.252--0.606]   type = 5.90 (Sbc_B10 - ES0_B10)   stellarity = 1.00   chisq2 = 287.10   ODDS = 0.49   z_cluster = 0.228